

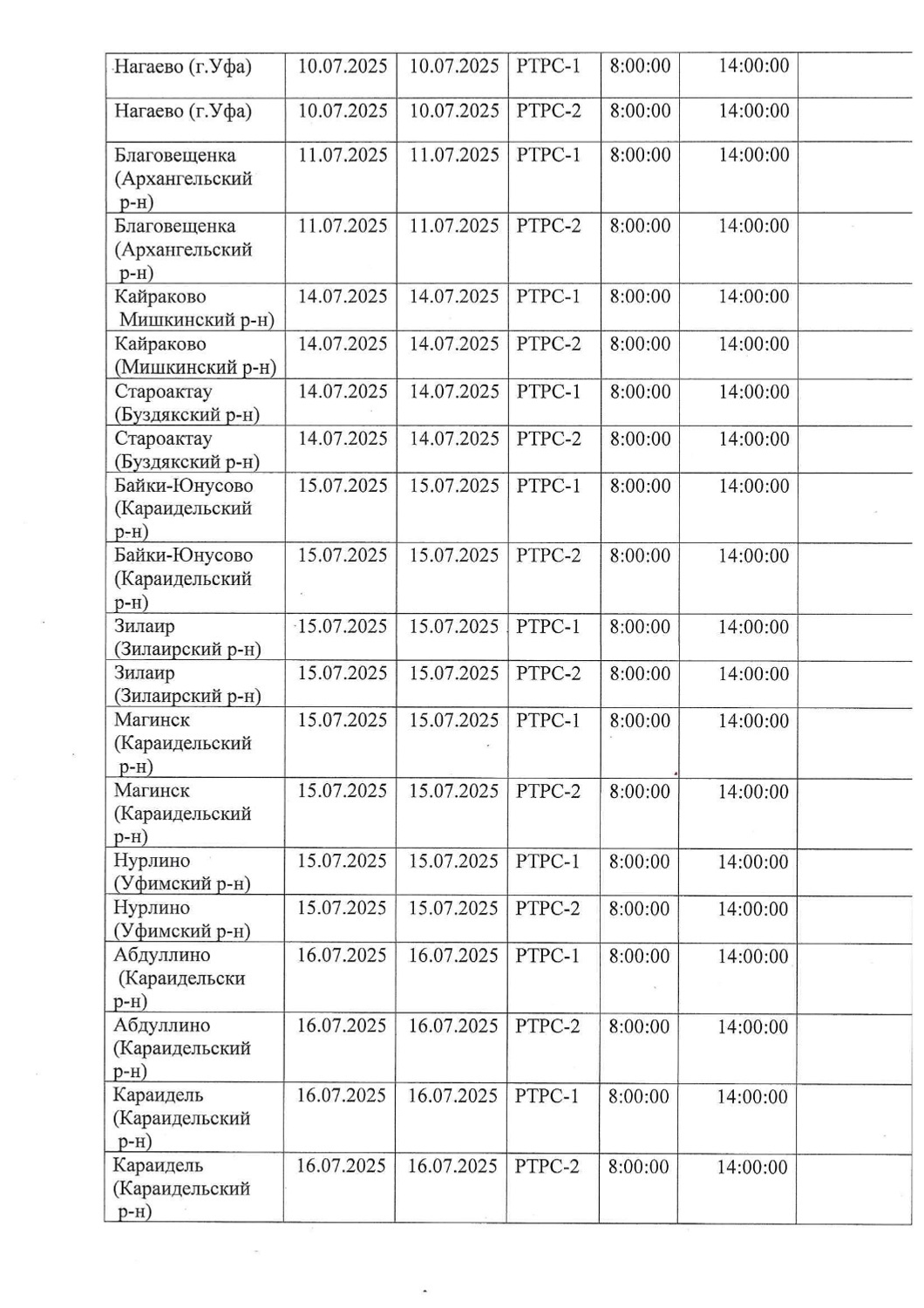
С 7 по 31 июля жители Башкирии не смогут смотреть и слушать теле- и радиоканалы, входящие в первый и второй мультиплексы (РТРС-1 и РТРС-2). Об этом проинформировала пресс-служба Российской телевизионной и радиовещательной сети.
Процесс отключения сигнала в разных населенных пунктах займет от шести до девяти часов. Подробное расписание отключений доступно ниже.
Источник: https://resbash.ru/news/obshchestvo/2025-07-03/v-bashkirii-vremenno-prekratyat-televeschanie-4301096